会员动态
三招快速辨别真假可降解塑料制品,看图看文看红外
2021年1月1日起,“升级版限塑令”来袭。根据2020年1月国家发展改革委、生态环境部印发的《关于进一步加强塑料污染治理的意见》(以下简称《意见》),《意见》指出,到2020年底,直辖市、省会城市、计划单列市城市建成区的商场、超市、药店、书店等场所以及餐饮打包外卖服务和各类展会活动,禁止使用不可降解塑料袋,集贸市场规范和限制使用不可降解塑料袋。

可降解塑料分类
可降解塑料一般可分为生物降解塑料、光降解塑料和光/生物降解塑料等。

生物降解塑料是指能被自然界中存在的微生物,如霉菌、细菌和藻类等,在一定条件下分解为低分子化合物的塑料。
光降解塑料是将光敏剂掺在塑料中,在太阳光照射作用下,塑料逐渐分解。但其缺点是,降解时间受到太阳光和气候环境的影响,因此无法控制。
光/生物降解塑料,就是融合光降解塑料和生物降解塑料双重特点的塑料。
如何快速辨别真假可降解塑料?
1看图形标识。《可降解塑料制品的分类与标识规范指南》规定了可降解塑料制品的图形标识为 “双J标识”。

可降解塑料标识(图片来源网络)
2看文字标识。文字标识包括产品的材质、产品标准号和降解条件。
产品材质:目前,市面上真正的生物可降解塑料的材质通常为聚乳酸(PLA)、PLA+PBAT+淀粉(St)或是聚己二酸/对苯二甲酸丁二醇酯 (PBAT)。如果产品材质含聚丙烯(PP)、高密度聚乙烯(HDPE)、聚乙烯(PE),请直接移出购物车。
3科技助力,慧眼明辨:傅立叶变换红外光谱法(FTIR)。
傅立叶变换红外光谱法(FTIR)具有分辨率高、灵敏度高、可靠性高、无损分析和应用广泛等特点,可快速鉴定真假可降解塑料制品。

岛津IRAffinity-1S加ATR附件
市售塑料制品实测

(图片由作者拍摄)
市售商品:1#为标识为PLA生物降解的塑料袋;2#为标识为PLA可降解的一次性餐勺;3#标识为PBAT-PLA-St可降解塑料袋(注:St是淀粉)。
科技还原真实

1#样品红外光谱图
1#塑料袋主要成分为PE(聚乙烯),同时添加碳酸钙成分,并非标注的PLA生物可降解塑料袋。

2#样品红外光谱图

PLA(聚乳酸)标准红外光谱图
2#一次性餐勺主成分为PLA(聚乳酸),同时添加滑石粉成分,与商品标识的PLA成分一致。

3#样品红外光谱图

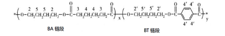
PBAT的结构式

PBAT标准红外谱图
3#塑料袋主成分为PBAT(聚己二酸/对苯二甲酸丁二醇酯)、PLA(聚乳酸)和St(淀粉),与商品标识的PBAT-PLA-St组分一致。
*标注:PBAT由PBA(聚已二酸1,4-丁二醇酯)和PBT(聚对苯二甲酸丁二醇酯)聚合而成。
随着超市、外卖、餐饮等场所纷纷响应限塑令,积极推进可降解塑料产品的使用,可降解塑料产品的需求量呈爆发式增长。真假可降解塑料袋也会走入市场,我们一定要学会如何快速辨别真假可降解塑料袋,了解可降解塑料袋的种类,才不会让那些不良商家有机可乘。鉴别真假可降解不“塑”之客,提供“塑”战速决的解决方案,岛津一直在行动!
撰稿人:王娟娟