会员动态
浪漫钻石之二:荧光光谱--告诉您钻石的前世今生
导读
2021情人节即将来临,给你心爱的“她”,准备好一生一戒了吗?一颗钻石,两厢情定。钻石,作为珠宝中最为璀璨的存在,见证了太多珍贵而有意义的时刻。至善至美,真情;至纯至远,真钻!钻石,不仅仅是有价的财富担当,更为无价的真爱代言。然而,稀有的天然钻石难以满足世人大量的需求,实验室合成钻石涌入市场。今天,小编带大家看看天然钻石和几种合成钻石的特征光谱,岛津人武器多多,这次出场的是岛津荧光分光光度计RF-6000。

样品
见图1,除了颜色不同,大小不一,小编这1.5杠杠的视力真瞅不出有啥区别……

图1 待测样品
【小提示】
HPHT 合成钻石为高压高温法合成(High Pressure High Temperature ,简称HPHT)
CVD 合成钻石为化学气相沉积法合成(Chemical Vapor Deposition,简称CVD))
辐照钻石为人工辐照(或再加热)改色的钻石或合成钻石
测试过程
测量光束位置,制备样品支架。样品无需前处理,直接放在样品支架上即可。

图2 RF-6000

图3样品测试照片
表1 具体测试条件

天然钻石的荧光光谱

图4 天然钻石的荧光光谱图
415 nm 出峰为N3色心的鉴别特征,天然钻石中占98% 的Ⅰa 型钻石具有该特征。
CVD合成钻石的荧光光谱

图5 CVD合成钻石荧光光谱图
737 nm 出峰为CVD合成钻石特征峰。
辐照钻石的荧光光谱

图6 辐照钻石的荧光光谱图
741 nm 出峰为天然钻石辐照改色常出现的特征峰形。
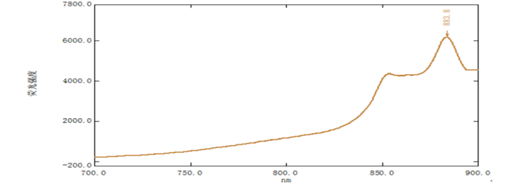
HPHT合成钻石的荧光光谱

图7 HPHT合成钻石的荧光光谱图
多数HPHT合成钻石会在883 nm或884 nm出峰。
结论
以上就是岛津RF-6000荧光光谱仪测试不同类型钻石的荧光光谱。至此,忍不住瞟一眼自己手上钻戒的仙女们,是不是也想现场观摩一下小编如何测样?岛津北京、上海和广州三地分析中心都有仪器,赶快联系当地的专属顾问(岛津销售),择机前来吧。
目前,国际珠宝鉴定机构IGI也为合成钻石出4C分级证书,为合成钻石的商贸行为做出了巨大的支持。合成钻石进入珠宝市场已成必然趋势,但是价格和稀有性差异,消费者受众和定位会有不同。合成钻石,让科技服务大众,让旧时王谢堂前燕,飞入寻常百姓家,也成为普通消费者喜闻乐见的选择。礼物不在价格,真情贵在人心。愿大家都能找到自己生命中合适的那颗钻石,从青丝到白头,任时光老去,光芒不改!