会员动态
如何成为一名科研级的苹果吃货
苹果从树上采摘下来后随时间会发生色泽、风味、芳香等方面的变化。GB/T 10651-2008 《鲜苹果》国家标准中,把苹果成熟度分为三类:即可采成熟度、食用成熟度和生理成熟度。一般来说,可通过感官判定苹果的成熟度,但这种方法可能会破坏苹果,并且与判定者的经验又有很大关系,判断的标准因人而异,也很容易引入人为误差。
那能否在无损的情况下更科学地判定苹果的成熟度呢?首先来看一下苹果中的叶绿素。苹果未成熟时果皮中的叶绿素含量很高,于是叶绿素的绿色便会遮掩黄色和红色的花青素的颜色。当果实成熟时,叶绿素慢慢降解,花青素的颜色才能逐渐显示出来。
由上可见,苹果的成熟度与果中叶绿素的含量密切相关。要想科学地判定苹果的成熟度,成为一名科研级的苹果吃货,分三步。


详细步骤见以下分解。
下图中测试的样品为市面上购买的富士苹果,将一个完整的苹果直接夹持在SolidSpec-3700i样品仓的积分球上,便可进行无损测定。SolidSpec-3700i具有落地式结构,无需担心桌面振动对光学仪器测量造成的影响,独特的3D光路设计及标准积分球配置,可轻松完成反射光谱的测试。

岛津SolidSpec-3700i紫外可见近红外分光光度计及内部图片
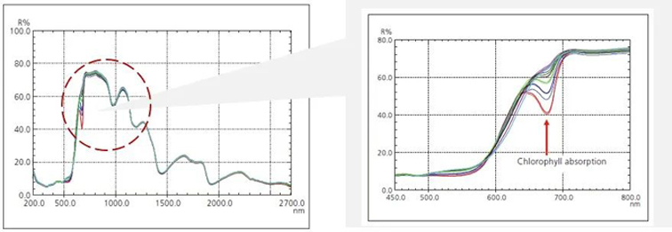
测试得到苹果的全反射光谱图如下。图中可见,位于680nm有一个吸收峰谷,此峰为苹果中叶绿素的吸收峰,随着存放天数的增加,叶绿素的吸收逐渐减弱,这是由于叶绿素在存放过程中慢慢降解引起的。

存放不同天数的苹果反射光谱图
(红线: 0天;蓝线: 7天;绿线: 14天;黑线: 21天;紫线: 28天;浅蓝: 35天)
接下来我们分别采用了两种多元变量分析的方法,即偏最小二乘法和多元线性回归的方法,对苹果存放天数进行了计算。计算使用的数据范围为450-750nm,选取了540nm、664nm和676nm三个点的数据生成了计算模型。

多元变量分析方法计算范围及选取的波长点
采用以上方法计算得到的苹果成熟天数及实际成熟天数的对比如下表所示。从表中可见,模拟计算的结果与实际结果的符合度较高,误差仅为3天以内。
