会员动态
生物药岛津说-mRNA疫苗技术与质量控制

2020年最大的灾难莫过于新冠疫情,病毒已经在全世界引起了重大灾难,严重影响全球经济发展和人民安全。作为今年最大的一场疾病,全世界都在全力以赴制造相关治疗和预防产品。
那小伙伴们见到哪些治疗和预防手段呢?
现在的治疗手段除了药物,预防更需要疫苗来进行,截至2020年12月24日,全球已有52种新冠肺炎候选疫苗进入临床试验阶段,其中13种已进入三期临床试验阶段,包括5种国产疫苗。
那小伙伴们见到哪些治疗和预防手段呢?
第一个上市批准的是德国BioNTech和美国辉瑞共同合作研发的新冠候选疫苗BNT162b2,为mRNA疫苗,当然国内也有mRNA疫苗和灭活疫苗等。
mRNA疫苗是什么呀?以前没接种过,它是怎么设计出来的?
mRNA疫苗原理是获取病毒基因序列后,编码可以表达病毒抗原蛋白的基因mRNA(信使核糖核酸),并将其注入人体内,体内细胞会根据这份“信息”,自己合成病毒的抗原蛋白,模拟病毒传染,从而诱导人体自身表达对应抗体。原理如下图所示:

图.mRNA疫苗作用机理
图片来源:CAS
mRNA疫苗有哪些关键技术是研发重点呢?
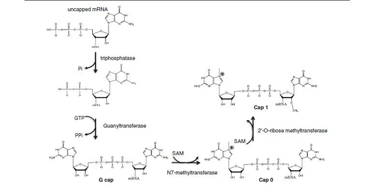
有很多地方可以讨论,mRNA疫苗重点在于(1)mRNA的体外合成和优化,比如说,5’帽子优化,UTR优化,ORF优化,Poly(A)尾优化 (2)递送系统的控制,mRNA进入宿主细胞质有一些挑战,所以需要高效的递送系统技术,例如特殊脂质体技术,还涉及相关的专利开发。对于mRNA的加帽技术原理如下图所示:

图.mRNA片段加帽原理
图片来源:CAS
mRNA加帽修饰以及Poly(A)尾,如何才能有效控制质量呢?
非常专业的问题,今年国家药监局药审中心发布了新型冠状病毒预防用mRNA疫苗药学研究技术指导原则(试行),提出了对于5’-帽类似物、核苷酸等原材料的质量标准应含有可充分表征产品相关杂质的纯度检测,如质谱、核磁、HPLC等方法。利用岛津质谱可以针对核酸结构进行表征分析,例如下图所示:


图.利用MALDI-ISD-TOF分析核酸分子量表征和匹配碎片离子结果
疫苗里除了mRNA还有别的成分吧?递送系统是?
mRNA递送系统一般是脂质体加聚合物材料,比如所美国上市疫苗里有脂质体和聚乙二醇(PEG)成分,关于质量控制方法,此次指导原则提出建议开展对不同批号的聚合物材料或脂质组分对mRNA的复合或包封效果、纳米颗粒结构完整和粒径均一性的研究,以确保mRNA纳米颗粒制剂的均一性和质量可控性,并建议根据研究结果拟定阳离子聚合物或特殊脂质材料可以接受的质量标准。建议申请人明确关键原材料/辅料中的杂质残余及可能影响制剂质量属性的关键要素,拟定的质量标准应含有可充分表征产品相关杂质的纯度检测,如,质谱、核磁、HPLC等方法。
原来如此,我想起来,最近美国上市疫苗报道了几次不良过敏反应事件,说是和聚乙二醇有关系,对吗?

图.疫苗在纽约引起过敏反应事件
图片来源:Newsweek
俄罗斯媒体12月19日发表了一篇文章,文中表示美国辉瑞公司与德国生物新技术公司联合研制的新冠疫苗会带来一些过敏反应,美国药管局和疫病防控中心联手排查,找出“罪魁祸首”。最终研究深入后,美国方面将目标缩小在聚乙二醇上,有专家认为聚乙二醇是出现过敏反应的源头。
聚乙二醇(PEG)成分怎么分析控制呀?
根据中国药典涉及内容,对于聚乙二醇分子量及多分散性可采用基质辅助激光解吸附飞行时间质谱(MALDI-TOF-MS)等方法测定聚乙二醇的重均/数均分子量及多分散性。利用岛津MALDI-TOF-MS 即可分析PEG成分,例如下图所示:

PEG-6000的一级质谱图
原来mRNA疫苗分析有这么多有趣的事和技巧。
是的呀,祖国生物药产业在一天天壮大。
好的,时间原因,今天的生物药岛津说,程老师就聊到这里,关于生物药分析其他方法闲聊。我们下期再会。
