行业资讯
岛津GC在锂离子电池产业链中的典型应用(下篇)
锂离子电池(LIBs)是一种充电电池,主要依靠锂离子在正极和负极之间的移动来完成充放电的工作。LIBs是公认的绿色环保化学电源,具有电压高、比能量大、放电电压平稳、循环性能好等优点,因而发展迅速,应用广泛。LIBs主要用于智能手机、平板电脑等3C领域,电动汽车、电动自行车等动力电池领域以及电网、5G基站等储能领域。
电解液组成分析对LIBs的能量密度、循环寿命和安全性研究具有重要意义。在电解液原材料检测以及研发过程中,涉及主盐含量、有机溶剂组份、水分、阴离子、金属杂质等各项测试。在SJ/T 11568-2016《锂离子电池用电解液溶剂》等相关标准中,使用GC对电解液溶剂的纯度与总醇进行检测。
1、锂离子电池电解液中碳酸酯类有机溶剂含量测定
电解液中碳酸酯类溶剂主要有碳酸乙烯酯(EC)、碳酸丙烯酯(PC)、碳酸二甲酯(DMC)、碳酸二乙酯(DEC)、碳酸甲乙酯(EMC)和碳酸亚乙烯酯(VC)等。岛津推荐采用GC-FID对已知电解质溶剂的常规定量检测,GCMS用于电解液中未知溶剂和不纯有机物中杂质的定性、定量检测。
本例采用GC-FID对已知电解质溶剂进行常规定量检测。
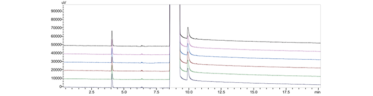
图1 标准溶液谱图
取实际电解液样品,正己烷适当稀释后进样分析,得到分离谱图,通过多点校正外标法获得样品结果。
图2 实际样品谱图
表1 样品定量结果
2、碳酸二甲酯(DMC)中水分含量测定
碳酸二甲酯(DMC)是电池电解液中常用有机溶剂,利用岛津BID检测器进行DMC中水分含量的测定,方法操作简单、重复性好,适用于化工产品DMC中水分含量的快速分析,可以满足生产过程质量控制的要求。
图3 标准色谱图(含水量0.1%)
使用DMC配制标准溶液,含水量分别为 0.001、0.005、0.01、0.05、0.1%,进样分析制作标准曲线,以0.001%标准溶液响应值计算仪器检出限。
图4 标准曲线
表2 相关系数及仪器检出限
使用含水量0.01%的DMC溶液,重复进样6次,峰面积重复性良好,RSD小于2%。
图5 重叠谱图
3、锂电池电极片中N-甲基吡咯烷酮(NMP)残留量测定
NMP是生产锂电池非常重要的辅助材料,起到混合活性物质、导电剂和粘结剂的作用,但绝大部分的NMP在浆料涂布过程中被去除,这是因为NMP对于电池来说是杂质,根据工艺分析要求,采用顶空进样器结合气相色谱仪进行锂电池电极片中NMP残留量的测定。
图6 Nexis GC-2030 + HS-20 NX
本例采用岛津HS-20 NX顶空进样器结合Nexis GC-2030气相色谱仪,建立了电池电极片中NMP残留量的检测方法,标准曲线良好、灵敏度高。
图7 N-甲基吡咯烷酮标准色谱图
图8 标准曲线
表3 相关系数及仪器检出限
锂电池的整个生产过程需要配套完备的分析仪器,岛津气相色谱仪在锂离子电池产业链中拥有完善的解决方案,广泛应用于产品研发、生产、质控以及原料进厂检验等众多环节,助力锂离子电池产业健康发展。
参考资料:
1. 岛津应用No. GCMS-058 气相色谱测定锂电池电解液中碳酸酯类有机溶剂含量
2. 岛津应用No. GC-194 GC-BID法测定碳酸二甲酯中水分含量
3. 岛津应用No. GC-232 顶空-气相色谱法测定锂电池电极片中N-甲基吡咯烷酮残留量
本文内容非商业广告,仅供专业人士参考。













