会员动态
淀粉类药用辅料法规新动向,氯丙醇类物质检测需关注
导 读
2022年4月24日国家药典委员会在其官网公示了四种淀粉类药用辅料的标准草案,目前该草案处在待批准状态,预计待审批通过其内容将会出现于2025版《中国药典》。这四种辅料分别为羟丙基淀粉、预胶化羟丙基淀粉、磷酸羟丙基二淀粉酯、预胶化磷酸羟丙基二淀粉酯,其中只有预胶化羟丙基淀粉被收录于现行的《中国药典》,其他三种则是新增品种。这四份公示稿中的检测项目均包含两种氯丙醇类物质,即1-氯-2-丙醇与2-氯-1-丙醇,并规定这两种物质的总量不得超过0.0001%,这是淀粉类药用辅料新增的检测项目。
图1. 国家药典委员会公示的四份淀粉类药用辅料的标准草案
1-氯-2-丙醇与2-氯-1-丙醇
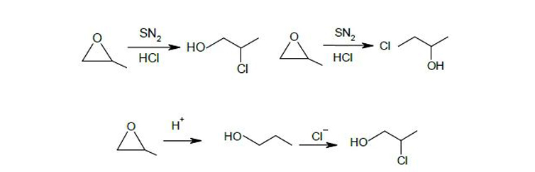
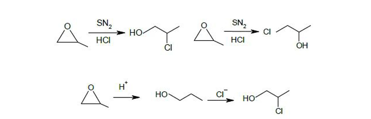
1-氯-2-丙醇及2-氯-1-丙醇是环氧丙烷的降解产物,这两种物质均具有基因毒性,且可能存在于羟基淀粉等变性淀粉中,因此需要加以控制。食品添加剂联合专家委员会(JECFA)和美国食品化学药典(FCC 11)中规定羟丙基淀粉氯丙醇含量≤1 mg/kg;国标GB29931-2013《食品添加剂磷酸羟丙基二淀粉酯》也规定氯丙醇(1-氯-2-丙醇和 2-氯-1-丙醇总量 )含量 ≤1 mg/kg。因此这四份草案中限度暂订为0.0001%。
图2. 环氧丙烷转化为1-氯-2-丙醇及2-氯-1-丙醇的过程
岛津解决方案
参考上述四份标准草案,使用岛津气相色谱质谱联用仪可建立淀粉类药用辅料中1-氯-2-丙醇与2-氯-1-丙醇的检测方法。该方法灵敏度高,准确性好,各项指标满足草案要求。
图3. 岛津GCMS-QP2020 NX气相色谱质谱联用仪
● 灵敏度
配制10 ng/mL的1-氯-2-丙醇与2-氯-1-丙醇标液上机分析,色谱图如下,S/N均大于10。
图4. 1-氯-2-丙醇与2-氯-1-丙醇标准溶液质量色谱图(10 ng/mL)
● 校准曲线与精密度
分别配制10、20、50、100、200、500、1000 ng/mL的标准溶液,分别检测,建立标准曲线,两种物质相关系数均大于0.999。取浓度为10 ng/mL标准溶液,连续进样7次,考察仪器精密度,两种物质的峰面积RSD分别为2.9%与3.0%,说明该方法具有良好的线性与精密度。
图5. 1-氯-2-丙醇与2-氯-1-丙醇标准曲线
表1. 精密度结果
● 准确度
对某羟丙基淀粉样品进行50与100 ng/g两个浓度水平的加标实验,每个加标水平重复3次,平均回收率在93.2%~102.1%之间,这说明该方法具有良好的检测准确性。
表2. 羟丙基淀粉样品加标实验结果
结语
淀粉类药用辅料广泛的应用于各类片剂、胶囊、冲剂等药物制剂的生产制造。国家药典委员会这次公布的四份淀粉类药用辅料的标准草案,涉及到新的品种与新的检测项目,值得相关的药品生产企业与检测机构的关注。岛津作为全球知名的科学仪器公司,始终密切关注药品质量安全,并及时提供先进的解决方案,为药品质量的提高提供有力的保障。
撰稿人:高洁
如需深入了解更多细节,欢迎联系津博士 sshqll@shimadzu.com.cn
本文内容非商业广告,仅供专业人士参考。









