会员动态
玩具材料中短链氯化石蜡测定标准即将颁布
导语
遥控汽车、拼图积木……又到了欢乐“六一”,想好给孩子们送什么玩具礼物了吗?随着社会的发展和进步,玩具花样也越来越多。但另一方面,玩具的安全性,如化学添加物质(增塑剂、阻燃剂等)也愈发引起关注。2017年,欧盟RAPEX通报了27起中国出口的消费品短链氯化石蜡超标案例,其中有6起涉及儿童玩具产品,包括了玩具小马、玩具步枪、绳子、沐浴玩具、塑料娃娃等。为适应国内外市场的要求,2019年,由上海海关机电产品检测技术中心牵头,着手开展制定《玩具材料中短链氯化石蜡含量的测定 气相色谱-质谱联用法》的国家标准。期间,岛津分析中心积极协助上海海关专家,参与了标准品和玩具材料实际样品的验证工作,并就技术问题与制标单位专家进行协商和沟通,推动项目的进展,目前该标准已通过报批程序,即将颁布并实施(标准号:GB/T 41524-2022),一起来看看吧!
氯化石蜡——年产量超过百万吨的化学品
短链氯化石蜡(SCCPs,碳原子数10-13个)是一类人工合成的直链正构烷烃氯代衍生物。SCCPs主要用作金属加工润滑剂、增塑剂、涂料、皮革加脂剂以及阻燃剂等。SCCPs具有持久性、生物富集性以及潜在生物毒性,被IARC归为2B类致癌物。2007年,欧盟REACH将SCCPs列入第一批高关注物质清单;EU 2015/2030规定物品中的短链氯化石蜡含量不得等于或大于0.15%,否则不能投放市场。2017年4月,SCCPs被正式列入关于持久性有机污染的《斯德哥尔摩公约》受控名单(附录A)中。
表1. 关于SCCPs的管控情况
中国是世界第一大氯化石蜡生产国,2013年的年产量超过100万吨,年产能超过160万吨。同时,我国也是世界玩具生产大国和出口大国,每年全球约75%的玩具来自中国,氯化石蜡常作为增塑剂和阻燃剂添加至玩具中,玩具材料中短链氯化石蜡的过量使用不仅会成为影响我国玩具出口的重大隐患,也会影响了我国玩具制造业的国际形象。
图1. 氯化石蜡全球产量与使用量[1]
短链氯化石蜡——分析化学的前沿热点之一
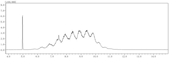
氯化石蜡及短链氯化石蜡的检测一直是环境、消费品等分析化学的难点之一。下图是市售某氯含量的短链氯化石蜡标准品谱图,由于同族分子种类众多,在仪器谱图上呈现簇峰,且保留时间跨度范围大,易与其它污染物干扰。因此,氯化石蜡及短链氯化石蜡的分析需要综合考虑前处理分离、仪器的分离度、分辨率、灵敏度等因素。迄今,尚无关于其检测的统一/黄金方法标准。
图2. 典型氯化石蜡的工业标准品谱图
相对而言,气相色谱-负化学电离质谱联用法(NCI-GCMS)目前是分析短链氯化石蜡常用的方法之一。
表2. NCI-GCMS的分析SCCPs的特点
需要特别指出一点,NCI-GCMS的响应随氯原子数增大而增大,这会导致样品与标准品若氯含量有明显差异,则得到的定量结果不准确[2]。因此若使用NCI-GCMS,目前主流的方法是使用氯含量-响应因子做校准曲线[3]。
图3. NCI模式下,相同浓度下不同氯含量的响应对比,由下到上依次为50ppm,
氯含量51.5%、53.5%、55.5%、56.25%、57.75%、59.25%和63%的总离子流图。
岛津应对利器
使用NCI-GCMS法,岛津分析中心协助上海海关机电中心对开展标准制订工作用的标准品和玩具样品进行方法学验证。
图4. GCMS-QP2020 NX及方法参数信息
l 方法学结果节选——质量色谱图
图5. 氯含量55.5%的SCCPs工业标准品单体质量色谱图(以CnCl7为例)
l 某玩具材料样品的实例谱图
图6. 某玩具材料样品的TIC谱图(浓度约2000 mg/kg)
结语
作为世界知名的仪器产商,岛津公司始终秉持“为了人类和地球健康“的经营理念,不仅提供优良性能的仪器,同时也提供丰富的理化检测解决方案,针对国内外关注的玩具中短链氯化石蜡超标问题,协助国内制标单位开展标准制定工作,让下一代玩的放心,拥有快乐的童年。
参考文献
[1] Gluge J., Wang Z.J., Bogdal C et al. Global production, use, and emission volumes of short-chain chlorinated paraffins – A minimum scenario. Science of the Total Environment, 2016, 573: 1132-1146.
[2] Reth M., Oehme M. Limitations of low resolution mass spectrometry in the electron capture negative ionization mode for the analysis of short- and medium-chain chlorinated paraffins. Anal Bioanal Chem, 2004, 378: 1741-1747.
[3] Reth M., Zencak Z., Oehme M et al. New quantification procedure for the analysis of chlorinated paraffins using electron capture negative ionization mass spectrometry. Journal of Chromatography A, 2005, 1081:225-231.
本文内容非商业广告,仅供专业人士参考。








