会员动态
兽药分析大讲堂丨四环素类分析易吸附、峰形差等难题快速解决!
导读
四环素类是一类具有菲烷母核的广谱抗生素,属于人畜共用药,被广泛用于革兰氏阳性和阴性菌感染等的防治,同时还被大量用作生长促进剂。作为应用范围最广、用量最大的抗生素之一,四环素产生的细菌耐药性问题已经严重影响人类用药的安全性、有效性。2022年2月1日,农业农村部、国家市场总局、卫健委三部门联合发布的食品安全国家标准《GB 31656.11-2021 食品安全国家标准 水产品中土霉素、四环素、金霉素和多西环素残留量的测定》已正式实施。四环素类兽药易光解,且容易与金属离子反应生产不溶性络合物,导致易吸附、峰型差等难题,在前处理和色谱分离面临诸多挑战。针对该难点项目,我们推出了最新的应用解决方案,来一起看看!
水产中四环素类分析相关法规
GB 31650-2019 《食品安全国家标准 食品中兽药最大残留限量》中规定了鱼虾中土霉素、四环素、金霉素最大残留限量(MRLs)200 μg/kg,强力霉素MRLs 100 μg/kg。2022年2月1日新实施的《GB 31656.11-2021 食品安全国家标准 水产品中土霉素、四环素、金霉素和多西环素残留量的测定》,对《GB/T 22961-2008 河豚鱼、鳗鱼中土霉素、四环素、金霉素、强力霉素残留量的测定》标准进行了更新,具体见下表。
四环素类分析难点
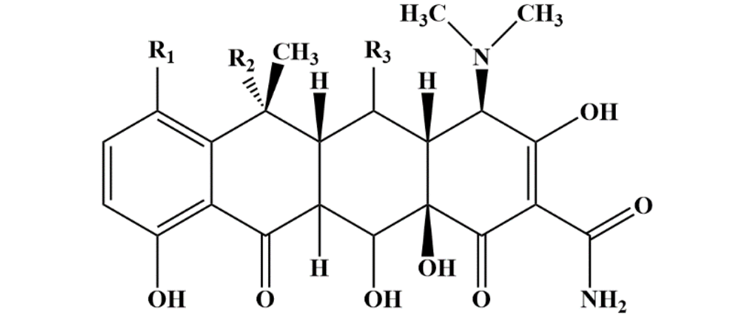
四环素类抗生素的基本结构如下图,含有ABCD四元环,D环含有酚羟基,水溶液显酸性,容易与金属离子形成络合物,因此在一些未经完全惰性化处理的玻璃瓶中会形成吸附,影响分析结果的准确性。在酸性条件下四环素、金霉素易形成可逆的差向异构体,而金霉素在碱性、高温(70℃)条件下易水解,同时四环素类抗生素在光照条件下也不稳定。
四环素类化合物的结构
表1. 常见四环素类化合物
因此,实验过程中需注意:
●推荐采用Na2EDTA-Mcllvaine溶液提取样品,Na2EDTA-Mcllvaine溶液可抑制四环素与样品基质、玻璃容器、SPE小柱中的金属离子螯合,提高回收率;
●样品瓶宜采用惰性化处理的玻璃瓶或PP材质样品瓶,SHIMSEN VIAL, 1.5mL PP短螺纹透明进样(P/N:380-00509);
●优先选择内壁带聚合物涂层的色谱柱,例如Shim-pack GISS metal free (100*2.1mm I.D.,3um) (P/N: 227-30924-02)。
●样品前处理后尽快上机,避免长时间放置发生降解。
岛津解决方案
分析仪器
岛津三重四极杆液质联用仪
色谱柱选择
我们比较了Shim-pack GISS(100 mm x 2.1 mm I.D., 1.9 μm)和Shim-pack GISS metal free(100 mm x 2.1 mm I.D., 1.9 μm)色谱柱,结果显示Shim-pack GISS metal free峰形更窄,特别是金霉素和多西环素峰形更对称,有利于提升灵敏度,且不易发生残留。如下图所示,以多西环素为例,其中GISS metal free的半峰宽为0.55,GISS半峰宽0.62。
Shim-pack GISS和Shim-pack GISS metal free色谱柱对比
标准曲线
4种四环素类抗生素在5~200 ng/mL范围内,线性良好,相关系数R均大于0.999。
四环素类抗生素的校准曲线举例
样品加标分析结果
对市售南美白虾进行分析,未检出四环素类抗生素成分,并且在出峰区域无杂峰干扰。以下是在南美白虾样品中添加50 μg/kg四环素得到的加标样品MRM色谱图,4种四环素类抗生素加标回收率70.4%~105.1%之间,符合标准要求。
四环素类抗生素加标样品MRM色谱图举例 (50 μg/kg)
结语
看了本期的兽药分析大讲堂,相信大家都了解四环素类抗生素对光照、pH敏感,容易发生降解、氧化等特点,因此分析测试过程中尤其要注意光照、pH等的影响。如果您恰好遇到了四环素类抗生素线性相关性差、有残留等情况,不妨试试岛津的应用方案。如果您还有其他相关问题,别担心!请持续关注岛津应用云兽药分析大讲堂系列,我们将精心挑选兽药检测技术的难点项目,陆续发布检测关键点小贴士及解决方案,帮助大家共克食品安全检测难关,敬请期待!
本文内容非商业广告,仅供专业人士参考。







