会员动态
抗生素也能测序?当多肽类抗生素遇见蛋白质测序仪
https://mp.weixin.qq.com/s/rjHF5PmphHbkUZUDtU0GEw
导读
抗生素的发现和使用挽救了无数人的生命,被称为“20世纪最伟大的医学发现”。然而,临床抗生素的滥用,使多重耐药菌成为抗感染治疗的严重挑战。人体毒性低、抗多重耐药菌的新型抗生素的研制与开发,一直是临床上的重要课题。在抗生素的开发和生产中,抗生素结构的确认至关重要。按照化学结构,抗生素可以分为大环内酯类、β-内酰胺类、氨基糖苷类、多肽类等抗生素,其中多肽类抗生素符合多肽的结构特征,可以使用蛋白质测序仪进行氨基酸残基顺序的确认。常见的多肽类抗生素有多粘菌素类(多粘菌素B、多粘菌素E)、杆菌肽类和万古霉素等,其中多黏菌素和万古霉素被认为是对抗某些多重耐药菌的最后一道防线。今天,我们以多粘菌素B为例,一起来看看蛋白质测序仪PPSQ如何测定多肽类抗生素的氨基酸序列。
快速了解多粘菌素B
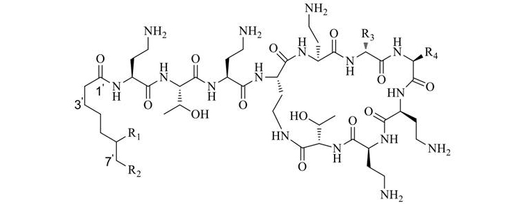
多黏菌素B( Polymyxin B,PMB)于1947 年在多黏类芽孢杆菌( Bacillus polymyxa) 中发现,是一种五价阳离子型(含5个α, γ--二氨基丁酸)十肽抗生素,由N-端脂肪酰基链、线性三肽、环状七肽构成,对革兰氏阴性杆菌有强效杀菌作用,但由于具有较高的肾毒性,只能局部( 耳、眼) 用药。PMB为发酵的混合型多肽类抗生素,组分种类较多,目前已发现的组分超过30种,其中占比较高的四种主要组分包括B1、Ile-B1、B2、B3。这四种组分组成氨基酸包括亮氨酸、异亮氨酸、苯丙氨酸、苏氨酸、二氨基丁酸,结构通式及信息表见下。
图1 多黏菌素B的结构通式
表1 多黏菌素B组分信息表
岛津解决方案
目前对多黏菌素B结构的研究主要为氨基酸组成成分、氨基酸构型分析等,氨基酸序列的研究报道较少。氨基酸序列是其能否正确发挥生物活性的重要基础,岛津与上海药检所合作开发了应用蛋白质测序仪对多粘菌素B进行氨基酸序列分析的方法[1]。蛋白质测序仪执行全自动化的Edman降解反应,从N端开始测定每个位点的氨基酸种类。本研究以B2组分为例,对其进行分离纯化和酶解后,获得去除N-酰基脂肪链及1位二氨基丁酸的肽链,解除了N端封闭,通过蛋白质测序仪PPSQ-53A测定其氨基酸顺序。
l 仪器配置及序列分析原理
Edman降解法是进行N端氨基酸序列分析的经典方法,岛津以其为原理设计的全自动蛋白质测序仪(以下简称PPSQ),由液相系统和可执行自动化Edman降解反应的主机组成,将氨基酸从多肽链的N端依次切割下来,通过色谱的保留时间判定氨基酸种类,结果直接可靠。PPSQ除了测定标准氨基酸外,还可以测定非标准氨基酸。多粘菌素B中含有非标准氨基酸α, γ--二氨基丁酸(DABA),可通过标准品出峰时间的测定与其他标准氨基酸一起进行氨基酸种类的鉴别。
岛津蛋白质测序仪PPSQ-53A
Edman降解反应图解
l 样品前处理
使用液相系统纯化制备多黏菌素B2组分(PMB2),加入无花果蛋白酶对其进行酶解,解除N端封闭。PMB2酶解后的结构式见下图。通过液相系统对酶解产物进行分离纯化,获得去除N-酰基脂肪链及随后1位二氨基丁酸的肽链,使用PPSQ-53A测试样品N端前9个氨基酸的序列。
多黏菌素B2的酶解产物
l 经酶解处理的多黏菌素B2氨基酸序列分析色谱图
应用蛋白质测序仪PPSQ-53A分析经酶解处理的多黏菌素B2组分的氨基酸序列,色谱图显示,样品氨基酸序列为Thr-DABA-X-DABA-Phe-Leu-DABA-DABA-Thr(X代表无信号检出),与理论顺序一致。第三位氨基酸在原构型中与相邻氨基酸为环状连接,当Edman反应发生时,一端被切开,另一端仍与相邻氨基酸相连,因此在检测中理论无氨基酸信号产生。
PMB2酶解产物的氨基酸序列分析色谱
结语
蛋白质及多肽的N端氨基酸序列分析,一直以来是生物药领域蛋白及多肽类药物质量控制的经典方法,也是未知活性多肽及蛋白质鉴定的重要依据。岛津蛋白质测序仪,自1988年第一代产品发布以来,持续三十多年来服务于生命科学研究、生物医药领域的广大用户,本研究中对多肽类抗生素多粘菌素B氨基酸序列的分析,让我们期待蛋白质测序仪将来可以为更多新型多肽类抗生素及其他活性抗菌肽的开发发挥价值。
参考文献(上海药检所和岛津联合发表):
[1] Zhang H , Li F , Dun J , et al. Combination of Derivatization–HPLC–MS and Enzymatic Hydrolysis–Edman Degradation for Amino Acid Sequence and Configuration of Polymyxin B Components[J]. Chromatographia, 2021, 84(11):1057-1064
本文内容数据为本公司试验数据(另有说明除外)
本文内容非商业广告,仅供专业人士参考






