行业资讯
中国科学院发现迈进30K温区的首个元素超导体
元素超导既益于超导机制研究又方便应用加工,寻找高超导温度(Tc)的元素超导体具有重要科学意义和潜在应用前景。2022年靳常青团队实验发现钛(Ti)元素在高压呈现26 K的超导转变(Nature Commun. 13, 5411(2022)),刷新了此前保持近20年的元素超导温度记录。在以上研究基础上,团队近期独立发现钪(Sc)元素在高压呈现高于30 K的超导转变,钪和钛为毗邻元素,钪为目前唯一进入30 K温区的元素超导体。
中国科学院物理研究所/北京凝聚态物理国家研究中心靳常青团队长期开展高压极端条件新材料制备及功能构效研究,设计研发了具有自主知识产权的先进的高压综合极端条件实验装置,可进行超高压合成和在位综合物性表征。运用以上极端条件技术,他们相继揭示了系列高压诱发的极端条件材料构效,包括金属间化合物、合金和富氢化合等新兴量子功能材料体系 (PNAS 116, 12156(2019)、 Nature Commun. 13, 5411(2022)、Nature Commun. 13, 2863(2022)、Sci Bull 67, 907(2022)、Mat Today Phys 27, 100826(2022)、Sci China Phys Mech 66, 267411(2023)、NPG Asia Materials 11, 60(2019)、NPG Asia Materials 15, 52(2023)。
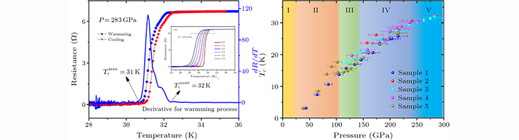
近期,他们实验进一步发现,钪元素的超导温度随着压力持续增加(图1)。根据超导转变随外加磁场的变化,估算钪元素在32 K 超导温度的上临界场μ0Hc2(0)约为43 Tesla,对应Ginzburg Landau超导相干长度为27 ?(图2)。钪元素的高压超导温度和上临界场优于商业化并被广泛应用的NbTi合金超导体(Tc~9.6 K,μ0Hc2(0)~ 15 T)。同步辐射高压结构表征揭示,钪元素在高压呈现序列结构相变,在240 GPa压力具有六方晶体结构。晶体和电子结构研究表明,高压将引起钪的4s和3d轨道相对能级的变化,导致部分4s电子向3d轨道跃迁,调控了费米能级的态密度。轨道序的改变诱发系列晶体结构相变,晶体结构不稳定性进一步增强了体系电声耦合,促进超导转变温度的提高。以上研究为设计研制具有更高温度的超导材料提供了新方案,通过引入化学预压等方法将有望在低(常)压截获性能优良的高压超导亚稳相,为元素超导材料的规模化应用提供可能。
以上研究工作发表在Chin. Phys. Lett. 40, 107403 (2023) (Express Letters)上,中国科学院物理研究所博士生何鑫和张昌玲为文章共同一作,靳常青研究员和望贤成研究员为论文通讯作者。研究得到北京高压科学技术中心刘浩哲研究员团队在高压材料结构实验方面密切合作,加拿大Saskatchewan大学的J. S. Tse教授在理论计算方面给予重要配合。研究得到基金委、科技部和中科院项目的资助。
图1、元素钪高压超导性质:(a) 元素钪在283 GPa呈现Tc 32 K的超导转变; (b) 元素钪高压超导相图。
图2、钪金属在283 GPa压力估算的上临界场。
请参阅:X. He, C. L. Zhang, Z. W. Li, S. J. Zhang, S. M. Feng, J. F. Zhao, K. Lu, B. S. Min, Y. Peng, X. C. Wang, J. Song, L. H. Wang, S. I. Kawaguchi, C. Ji, B. Li, H. Z. Liu, J. S. Tse, and C. Q. Jin, "Superconductivity above 30K Achieved in Dense Scandium", Chin. Phys. Lett. 40, 107403(2023) (Express Letter)
DOI: 10.1088/0256-307X/40/10/107403;
SC of Sc Element with Tc above 30K.pdf

